家电维修网

 找回密码
 注册
家电维修网 网站首页 空调维修
订阅

空调维修

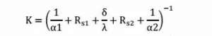
王如竹教授:低品位余热回收热泵技术
王如竹教授:低品位余热回收热泵技术
一:热泵发展背景1、工业余热量大面广-低品位余能利用现状根据2015年国家统计年鉴,工业能源消费量相当于29.1亿吨标准煤,低品位余能占总能源消费的14.2%。工业余热目前采集设备已经非常成熟,但是余热转换方式与设 ...
2018-4-20 08:32
格力D模块机线控器怎么修改时间?
格力D模块机线控器怎么修改时间?
格力D系列模块机线控器,在参数设定界面,可以看到一个线控器通用设置,这个通用功能是干嘛的?通用功能是修改液晶背光、按键声音、时钟设置。在主页菜单界面下,按功能键4 进入通用设置界面。a. 液晶背光选择液晶背 ...
2018-4-20 08:24
空调加氟流程、方法
空调加氟流程、方法
空调需要加氟吗?基本不需要,请参阅下面文章:但,如果需要加氟,又该如何处理呢?空调加氟步骤和方法(普通家用空调机)一、空调缺氟后的现象压缩机连续运转30分钟后,若制冷系统“缺氟”,会出现下述现象:1、气管 ...
2018-4-19 14:05
什么是空调能效比?
什么是空调能效比?
空调能效比是什么意思?空调能效比怎么算?在日常生活中我们很少想这些问题,这是专业人士所要了解的。那么针对这两个问题本文做个具体的回答。一、空调能效比是什么意思空调能效,通常是家用空调制冷能效比(EER)的代 ...
2018-4-18 08:35
4月,美的、格力、海尔、科龙、志高、TCL、盾安在做什么?
4月,美的、格力、海尔、科龙、志高、TCL、盾安在做什么?
2018年,AWE展、中国制冷展上让我们看到了空调大佬们的新产品、黑科技,今年,注定是制冷空调产业的发展年。制冷展之后,这些企业又有什么动作呢?我们一起来看下。美的携手希克斯助推全变频科技提升 美的集团中央 ...
2018-4-18 08:33
板式换热器热力计算
板式换热器热力计算
热力计算的目的在于使所设计的换热器在服从传热方程式的基础上能够满足热负荷所应具有的换热面积、传热系数、总传热系数、平均温差等综合方面的计算。一:总传热系数确定途径确定总传热系数的途径在设计计算板式换热 ...
2018-4-18 08:30
燃气热水器工作原理及日常售后故障问题知识解读
燃气热水器工作原理及日常售后故障问题知识解读
燃气热水器在使用的过程中会出现打不着火等故障,而重新开启后,有些故障就消除了,有些故障依然存在。燃气热水器打不着火常常困扰着使用者,虽然燃气热水器算不上精密仪器,但任何一个环节出问题都会引起熄火或者打 ...
2018-4-18 08:18
空调维修之最常见的故障维修案例分析
调维修之最常见的故障及解决方案空调最常见的故障之一:(1)外部电源故障(如空调电源空开有问题或电源线断路)。(2)变压器烧坏(3)室内机电脑板故障(保险管和压敏电阻烧坏)(4)控制面板故障以上空调起因会对 ...
2018-4-18 08:17
王牌L42F1590B液晶电视开机声音正常,背光亮灰屏的维修
王牌L42F1590B液晶电视开机声音正常,背光亮灰屏的维修
王牌L42F1590B液晶电视故障表现:开机声音正常,背光亮灰屏故障维修:拆机检测上屏12V正常. 测VGL VGH 均无,测VAA短路,屏号V420HJ2-XR01;断开边板两根连接排线。发现是右边边板VAA短路,取下CD21后 不再短路,更 ...
2018-4-18 08:16
格力空调E6故障维修方法和故障排除
格力空调E6故障维修方法和故障排除
E6故障是格力变频机常见的故障之一,此故障涉及的因素比较多,许多维修师傅碰到后总是不做分析判断,检查都不检查,直接更换外机电器盒及内机主板,最终发现换了配件还是解决不了问题。现向大家分享E6故障的排查思路 ...
2018-4-18 08:13
中央空调水垢的危害多多
中央空调水垢的危害多多
紧接着科学技术的进步生产的发展和人民生活水平的不断提高,在生活娱乐等场所越来越多的地方安装了中央空调,中央空调在运行几年后都存在不同程度的结垢要清洗,其中水垢的清洗是比较常见的。中央空调循环水系统存在的 ...
2018-4-17 13:45
压缩机的故障原因 及对策分析
排气温度不正常 排气温度不正常是指其高于设计值。从理论上进,影响排气温 度增高的因素有:进气温度、压力比、以及压缩指数(对于空气压缩指数K=1.4)。实际情况影响到吸气温度高的因素如:中间冷却效率低,或者中 ...
2018-4-16 08:07
都说变频空调省电,真的是这样吗?
都说变频空调省电,真的是这样吗?
时下买空调都会被问及是要买一台定频空调还是变频空调,如果被问到是变频的好还是定频的好呢,当然大部分人会告诉你是变频的好,但是具体好在哪里,怎么好呢?是不是只要买空调就选变频呢?相信很多消费者也比较困惑 ...
2018-4-15 08:43
改装时速可达100公里的电动车
疯狂的电动车 改装时速可达100公里
2018-4-14 11:22
格力D模块机线控器的常用功能设置(用户设置)
格力D模块机线控器的常用功能设置(用户设置)
先介绍功能设置,这部分内容很重要。(1) 功能设置这是用户常用的一些基本设置。在屏幕显示主控制菜单时,功能键1 进入。屏幕显示如下图所示:在设置界面下,按左键,右键切换所需要设置的参数。注:当机组为单冷机时 ...
2018-4-14 10:48
空调维修热门文章

QQ|门户地图|网站地图|家电维修|手机版|家电维修技术论坛 ( 蜀ICP备14030498号-16 川公网安备51102502000162号 )

GMT+8, 2026-5-14 09:35

Powered by Discuz! X3.4

© 2001-2023 Discuz! Team.

返回顶部