家电维修网

 找回密码
 注册
家电维修网 网站首页 电工学习
订阅

电工学习

钳形电流表的几种主要用途
钳形电流表的几种主要用途
用途1:测量三相三线电路电流以及三相四线零线电流钳形表一般是测量单根导线的电流,如果测量三相三线负载的电流时,同时钳入两条导线,则指示电流值应该是第三条线的电流。测量三相四线零线电流方法与测量三相三线 ...
2021-9-24 18:42
空气源热泵热风机标准化发展现状与方向
空气源热泵热风机标准化发展现状与方向
空气源热泵采暖是一种以创造室内舒适环境为目的,利用电能驱动将室外环境空气中的热量转移至室内空间的采暖技术。紧接着北方地区冬季清洁取暖工作的迅速推进,作为空气源热泵采暖技术的典型代表,空气源热泵热风机(简 ...
2021-9-18 19:07
接触器易出现缺相现象分析
接触器易出现缺相现象分析
在电气控制电路中,接触器是必不可少的常用电气元器件,主要用来对执行部件(如电机、加热器等)的电源接通和断开。接触器在使用过程中,其主触点(常用的为三对)部分易出现缺相。是电气控制中主电路故障的高发类。 ...
2021-9-18 19:04
接触器经常烧毁是什么原因
首先可以明确的是:带负载接通与分断电动机主电路的交流接触器的故障率确实是很高的,其原因有以下几个方面。1、由于交流接触器较为频繁带负载接通与分断电动机的主电路,电动机的启动电流是它的额定电流4—7倍,即 ...
2021-9-18 19:03
几十种接触器控制电路图
几十种接触器控制电路图
从最简单电路开起,可能有的认为太简单,不过我认为只有从简单的练起,才能理解复杂电路。所谓原理,先有 工作原理:我们首先必须知道我们要做什么。后有 控制原理:我们根据需要,研究,设计我们的电器控制电路,以 ...
2021-9-18 19:03
220V转220V的变压器叫做隔离变压器
220V转220V的变压器叫做隔离变压器
220V转220V的变压器叫做隔离变压器其实隔离变压器是大有用处的。隔离变压器的初级和次级绕组圈数相同,利用电磁感应原理,使得输入和输出电压一样。隔离变压器可以避免触电交流电的火线(L)跟大地的电势差为220V, ...
2021-8-28 09:52
电工知识:1、1.5、2.5、4、6平铜线能带多少瓦?
现在家用铜线规格多是1、1.5、2.5、4、6平,那么这几种规格的导线能带多少瓦的用电器呢?(1平指的是国标导线的横截面积为1平方毫米)红色用做火线,蓝色用做零线,黄绿双色为地线。一、1平方电线可以负荷多少瓦一个 ...
2021-8-24 17:19
常见偷电基本方法及案例,学会后抓偷电一抓一个准!
每次分享偷电相关知识的时候,大家都很有兴趣!于是小编把市面上几种常见的偷电方法汇总了一下,方便大家查看。目前常见的偷电方法分别为欠压法偷电,欠流法偷电,移相法偷电,扩差法偷电四种方法,列举了四种方法的 ...
2021-7-9 17:44
有这些反应证明你已经是老电工了
有这些反应证明你已经是老电工了
有电友分享说,他干了这么多年的电工,也被电了不知多少回,有轻的也有重的,不过还好没有出现触电事故。奇怪的事儿是这样的,有时我在干活时,手握钳子,感觉手被电到的感觉,一下子把钳子甩了出去,其实手根本没有 ...
2021-7-9 17:43
组合式空调箱各功能段及选用原则
组合式空调箱各功能段及选用原则
组合式空调箱各功能段及选用原则解析组合式空调机箱体的各功能段及选用原则。组合式空调机一般都有三个以上的功能段所组成。如:新回风段、表冷挡水段、加热段、加湿段、二次回风段、风机段、消声段、中效过滤段、杀 ...
2021-6-10 11:14
电工必须知道的配电室的电容补偿及功率因数
电工必须知道的配电室的电容补偿及功率因数
功率因数是电力系统的一个重要的技术数据,是衡量电气设备效率高低的一个系数,我们都知道功率因数过低,说明电路用于交变磁场转换的无功功率大,从而降低了设备的利用率,增加了线路供电损失。一般电容补偿柜容量按 ...
2021-6-10 11:13
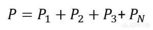
输电线路过程线路的损耗该如何计算?
输电线路过程线路的损耗该如何计算?
三相线路总损耗=A相线路损耗+B相线路损耗+C相线路损耗+零线损耗A相线路损耗=A相电流的平方 * A相线路的阻抗;B、C、N线路同理想要知道电流大小,这个很简单,看一下线路上的电流表或者用钳表测一下就可以了。关键是 ...
2021-6-10 11:13
交流电220V和380电怎么区分? 开关电源维修资料.LD7550-B
交流电220V和380电怎么区分?        开关电源维修资料.LD7550-B
电,是我们日常生活中必不可少的东西了,可是我们很多人却不了解我们使用的电是怎么来的,220V电和380V电之间有什么关系?交流电是法拉第发现,因此法拉第也被称为交流电之父。所谓交流电,就是电流做周期性的变化方 ...
2021-6-5 14:45
母线是什么?母线和母线槽有什么区别?两者如何选择呢?
母线是什么?母线和母线槽有什么区别?两者如何选择呢?
母线在变电所中各级电压配电装置的连接,以及变压器等电气设备和相应配电装置的连接,大都采用矩形或圆形截面的裸导线或绞线,这统称为母线。母线槽是一个高效输送电流的配电装置,尤其适应了越来越高的建筑物和大规 ...
2021-6-3 14:38
你知道突然断电对电器的伤害有多大吗?长知识了~
你知道突然断电对电器的伤害有多大吗?长知识了~
突然断电对电器当然会有一定的伤害,只不过伤害的严重程度则因电器而异。另外,突然断电会对系统内所有正在工作的电器都产生影响。为何如此?我们需要先了解配电网的电能传输和控制形式。我们看下图:图中,我们看到 ...
2021-6-3 14:34
电工学习热门文章

QQ|门户地图|网站地图|家电维修|手机版|家电维修技术论坛 ( 蜀ICP备14030498号-16 川公网安备51102502000162号 )

GMT+8, 2026-3-19 18:18

Powered by Discuz! X3.4

© 2001-2023 Discuz! Team.

返回顶部